20090813

Profiles

Profiles are used to determine the behavior of Oracle Application Forms and Programs. The registration information of all the users will be stored in FND_PROFILES_OPTION table. The dictionary of all the Profile Options is maintained by AOL module. To set the values of the Profile Options, we use System Administrator Module. Profile Options are used to pass the values to the variables declared in our forms and programs, by which we can determine the behavior of Oracle Application Forms.

Note: There are 5316 types of profiles options are going to come with the package.

Each Profile Option has access at 3 levels.
1 User Access Level.
2 Program Access Level.
3 System Administrator Level

USER LEVEL: If the Profile is having access at this level any front end login user can change the values of the Profile Options.


PROGRAM LEVEL: If the Profile is having access at Program Level then we can use them in our Programs.

SYSTEM ADMINISTRATOR LEVEL: If the Profile is having access at this level then we can use Profile Options at the following four sub levels.
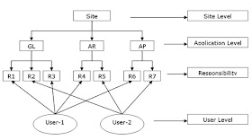
1 SITE Level
2 APPLICATION Level
3 RESPONSIBILITY Level
4 USER Level

SITE LEVEL: Site is a collection of Modules. A Module is a collection of Responsibilities. Responsibility is assigned to different users.
If we set the Profile Options at Site level then these Profile Options get affected to all the Forms and Programs of all the Modules, which are accessed from our site.

APPLICATION LEVEL: If we set the Profile Options at this level then the Profile Options get affected to all the forms of a particular module.
RESPONSIBILITY LEVEL: If we set the Profile Options at this level then the Profile Options get affected to all the Forms and Programs, which are assigned to a particular Responsibility.

USER LEVEL: When we set the Profile Options at this level then the Profile Options get affected to all the Forms and Programs of all the Responsibilities, which are assigned to a particular User.

When we set the Profile Options at all the 4 level then
1. User Level will overwrite Responsibility Level
2. Responsibility Level will overwrite the Application Level
3. Application Level will overwrite the Site Level

The Built-In that is used to get the value of the Profile Option is FND_PROFILE.GET, which takes two arguments i.e. Name of the Profile Option and the Output Variable. This Built-In first searches for the value at User Level and it will get the USER_ID, RESPONSIBILITY_ID and APPLICATION_ID of Form where the Form is called.

No comments:

Post a Comment